365英国上市集团

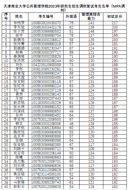
365英国上市集团2023年研究生招生调剂复试考生名单(MPA调剂)

来源:365英国上市集团 时间:2023-04-06 点击数:


Copyright © 365上市集团(英国)官方网站-Official website 版权所有  |  地址:天津市北辰区光荣道409号 365英国上市集团  | 电话: 022026667609  | 邮编:300134